10 Contoh Soal Trigonometri dan Pembahasan Lengkapnya

Memasuki kelas 10 SMA, materi tentang persamaan trigonometri memang sudah diajarkan. Trigonometri merupakan cabang ilmu matematika yang membahas hubungan sisi dan sudut yang ada pada segitiga.
Persamaan trigonometri yang sederhana itu terdiri dari sinus, cosinus, dan tangen. Supaya lebih memahami tentang persamaan trigonometri, simak contoh soal trigonometri dan penjelasannya berikut ini.
Contoh soal trigonometri 1

Contoh soal trigonometri 2

Contoh soal trigonometri 3

Contoh soal trigonometri 4

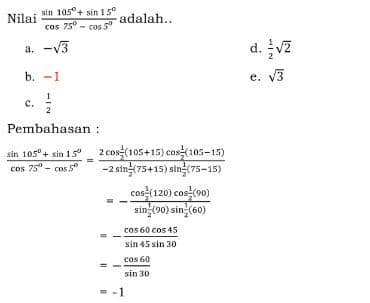
Contoh soal trigonometri 5

Contoh soal trigonometri 6

Contoh soal trigonometri 7

Contoh soal trigonometri 8

Contoh soal trigonometri 9

Contoh soal trigonometri 10

Demikian contoh soal triginometri yang bisa kamu pakai untuk latihan menuju ujian supaya makin lancar. Jangan lupa cermati langkahnya secara saksama supaya kamu bisa mengerjakannya sendiri, ya!



















